5年期国债期货可交割国债有关事项
|
5年期国债期货可交割国债有关事项 |
|
根据《中国金融期货交易所5年期国债期货合约交割细则》的相关规定,现就5年期国债期货可交割国债范围有关事项明确如下: 一、合约上市后新发行的符合可交割国债条件的国债,交易所在该国债上市交易日(含)之前公布将其纳入可交割国债范围。 二、合约交割月新发行且上市交易日在合约最后交易日(含)之前的5年期国债,纳入合约可交割国债范围。合约交割月新发行的7年期国债,其到期日距交割月首日的期限超过7年,不纳入合约可交割国债范围。 三、根据财政部和托管机构关于国债转托管的相关规定,为保证国债期货交割的顺利进行,因付息导致合约交割期间暂停转托管的国债不纳入该合约可交割国债范围。 |
|
|
|
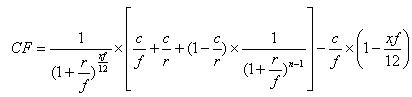
5年期国债期货转换因子和应计利息计算公式 |
|
国债期货可交割国债的转换因子和应计利息计算公式公布如下: 一、转换因子 转换因子计算公式如下: 其中,r:5年期国债期货合约票面利率3%; x:交割月到下一付息月的月份数; n:剩余付息次数; c:可交割国债的票面利率; f:可交割国债每年的付息次数。 计算结果四舍五入至小数点后4位。 二、应计利息 应计利息的日计数基准为“实际天数/实际天数”,每100元可交割国债的应计利息计算公式如下: 计算结果四舍五入至小数点后7位。 |


